安徽材料工程学校杨洁、李浩冉、唐锦赛、宦一闲、朱以俊五名学子,凭借在2024、2025年世界职业院校技能大赛机电设备安装与调试赛道与人工智能赛道斩获的铜牌荣耀,在2026年安徽省本科院校对口招生中成功获得免试录取资格,用技能实力铺就升学坦途,用青春奋斗书写职教学子的精彩答卷,为全校学子树立了“以赛促学、技能成才”的榜样标杆。


2024、2025年世界职业院校技能大赛以“技炫青春,能创未来”为主题,是世界职业教育领域规格最高、影响力最广的赛事之一,更是检验职业院校教学成果、展现学子技能风采的重要平台。其中人工智能赛道更是作为大赛创新设置的特色赛道,聚焦计算机视觉、自然语言处理、机器学习等前沿技术,覆盖先进制造业、战略性新兴产业等关键领域,吸引了国内外众多顶尖职业院校学子同台竞技,全面考验参赛选手的专业素养、实操能力与团队协作水平。
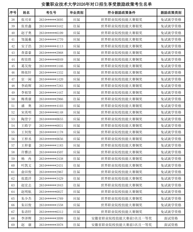
荣耀之上,再启新程。根据安徽省教育厅相关政策,近三年获得世界职业院校技能大赛奖项的选手,可享受本科院校对口招生免试就学资格。凭借这份沉甸甸的世赛铜牌,五名学子顺利获得2026年安徽省本科院校对口招生免试录取资格,开启了人生的新征程:其中杨洁、李浩冉、唐锦赛三人成功被宿州学院计算机科学与技术本科专业免试录取,该专业作为宿州学院的优势专业,是省级综合改革试点专业、省级卓越工程师培养计划试点专业,拥有雄厚的师资力量与完善的实训平台,将为三名学子提供更广阔的成长空间;宦一闲与朱以俊分别被安徽职业技术大学集成电路、电气工程及自动化本科专业免试录取,依托该校优质的职业教育资源,继续深耕智能制造专业领域,追逐专业梦想。



五名学子的成功,既是个人勤奋拼搏的结果,也是安徽材料工程学校深耕职业教育、践行“以赛促教、以赛促学、以赛促练”育人模式的生动体现。近年来,学校紧跟人工智能等新兴产业发展趋势,不断深化教学改革,加强专业建设,搭建技能竞赛集训平台,为学子们提供了展示技能、提升自我的广阔舞台,助力一批批职教学子凭借专业技能实现人生价值。
青春逢盛世,奋斗正当时。在此,向杨洁、李浩冉、唐锦赛、宦一闲、朱以俊五名学子表示最热烈的祝贺!同时,也希望全校学子以他们为榜样,树立“技能立身、技能报国”的理想信念,珍惜校园时光,勤学专业知识,苦练专业技能,积极参与各类技能竞赛,在比拼中成长,在奋斗中升华,以过硬本领书写青春华章,用不懈奋斗成就人生梦想,努力成为新时代高素质技术技能人才,为学校增光添彩,为地方经济发展和产业升级贡献青春力量!


学校地址:宁国市汪溪办事处落花荡路99号 | 邮政编码:242300 | 校办室:0563-4183996 | 招生办:0563-4183967
版权所有:安徽材料工程学校 |
皖公网安备 34188102000267号 | 皖ICP备05011798号-1 | 技术支持:校信息中心、渔之蓝教育软件